Our Results
Infrastructure
School Building
Swachh Vidyalaya
Sustainable Campus
Classrooms
Labs
Fire Safety
Mandatory Disclosure
General Information
Affilation Letter
Society Of Pnnps
No Objection Certificate
Recognition Certificate
Building Safety Certificate
Fire Safety Certificate
DEO Certificate
Water,Health And Sanitation Certificate
Fee Structure
Annual Academic Calander
School Managing Committee Information
Parent Teacher Association
Last 3 Year Result
Staff (Teaching)
School Infrastructure
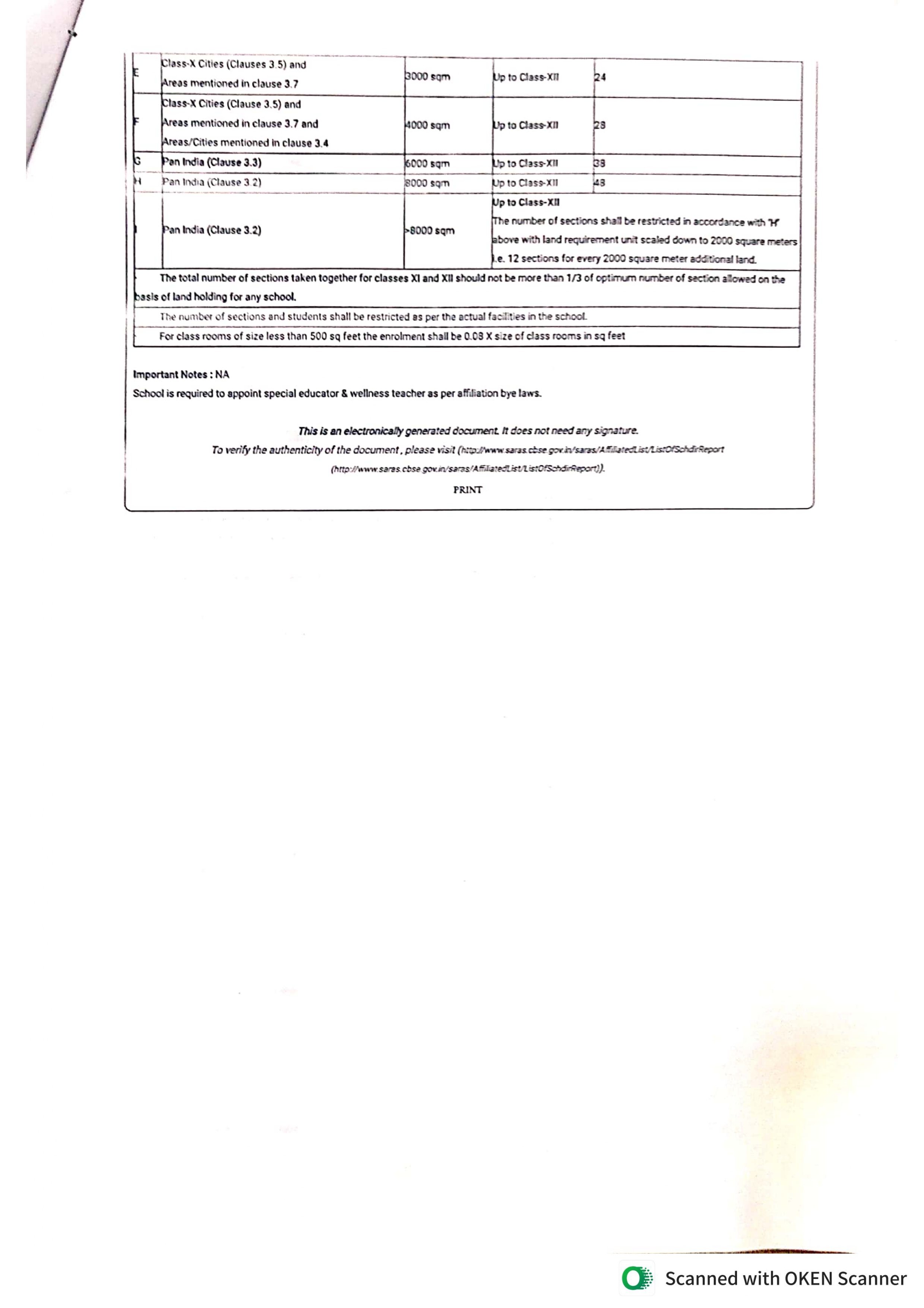
Mandatory Disclosure Details SARAS 7.0
Testimonials
Gallery
Events
Online Registration
Home
About
About Us
Our Vision And Mission
Chairman's Message
Director's Message
Principal's Message
Our Faculties
Top Awards Received
Admission
Academics
Facilities
Activities
Contact
Enroll Now
COPY OF AFFILIATION/UPGRADATION LETTER AND RECENT EXTENSION OF AFFILATION
Download